1. Allgemeine Planungsgrundsätze für Krötenwanderanlagen
1.1 Begriffsbestimmungen
Krötenwanderanlagen sind Anlagen, die das sichere Queren eines Verkehrsweges dureh Amphibien gewährleisten und die Kollision von Amphibien und Verkehr vermeiden.
Krötenwanderanlagen werden errichtet für die Herpatofauna, insbesondere für Lurche (Amphibia), also für
1.2 Anwendungsbereich
Die Richtlinien für die Einrichtung und Gestaltung von Krötenwanderanlagen an Straßen gelten für den Neu-, Um- und Ausbau von Straßen.
1.3 Zweck der Krötenwanderanlagen
Krötenwanderanlagen werden notwendig bei der Funktionstrennung von Jahreslebensräumen durch die Straße. Sie dienen Amphibien zum sicheren Erreichen der Laichgewässer auf der anderen Seite der Straße. Sie verhindern oder vermindern
Krötenwanderanlagen dienen also der Erhaltung des Genflusses.
1.4 Rechtsgrundlagen
Krötenwanderanlagen sind nach § 1 Abs. 4 FStrG Bestandteile der Bundesfernstraßen. Für die rechtliche Zuordnung der Krötenwanderanlagen an den übrigen Straßen gelten die jeweiligen Landesstraßengesetze.
1.5 Zusammenarbeit der Fachgebiete
Der Bau von Krötenwanderanlagen ist eine Gemeinschaftsaufgabe der Fachleute des Straßenbaus, der Landschaftspflege, der Wasserwirtschaft und der Biologie. Die Zusammenarbeit muß von Anfang an erfolgen und erstreckt sich von der Standortwahl über die Planung und den Entwurf bis zur Bauausführung. In jeder dieser Stufen ist eine sorgfältige gegenseitige Abstimmung unerläßlich. Insbesondere sind bei der Sektoralen Fachplanung die örtlichen Beauftragten des BUND und der ANU in allen Stufen einvernehmlich zu beteiligen, zoologisch-faunistisch tätige Personen und Institutionen sind beizuziehen.
1.6 Standortwahl
Bei der Wahl des Standortes sind
1.6.1 Biotisch-potentielle Gesichtspunkte
Krötenwanderanlagen sollen sich an den Schwerpunkten des querenden Krötenpotentials orientieren.
Grundlage hierfür ist die Erfassung des Artenpotentials der Amphibien als Teil des biotischen Potentials. Das danach zu entwickelnde Raumgliederungsmodell mit dem Ziel des Arten- und Ökosystemschutzes wird erreicht durch Zählungen und Beobachtungen des Krötenbesatzes und durch örtliche Erkundung der Migrationswege während der Paarungs- und Laichzeit. Der ermittelte Krötenbesatz ist unter Berücksichtigung des Krötenzuwachses auf das Jahr 2000 zu quantifizieren. Dabei ist ein Faktor 5,0 zugrunde zu legen, da die Krötenpopulationen infolge ihrer allgemein anerkannten Bedeutung und Schutzwürdigkeit einem hohen Vermehrungsgrad unterliegen werden.
Zählungen erfolgen täglich tunlichst unter Zuhilfenahme von Krötenabfangzäunen aus Plastikfolie o.ä. und von Krötensammeleirnern. Die Intimsphäre der Tiere ist bei der Registrierung zu respektieren, Konflikte mit dem Datenschutz sind durch geeignete Erhebungsbogen zu vermeiden.
1.6.2 Bio-ökologische Gesichtspunkte
Die Bestimmung des bio-ökologischen Potentials erfolgt auf der Basis des Systems der Ökotope und der standörtlichen Vielfalt der Biozönosen. Die Kriterien für das bio-ökologische Potential sind im landschaftspflegerischen Begleitplan darzustellen; die Kriterien werden hierbei unter Bezugnahme auf die Indikatorenblätter an Hand der Computerkarten im quantitativen Vergleich verdeutlicht.
Die ökologische und gestalterische Verträglichkeit der amphibiellen Nutzungsansprüche einerseits und der anthropogenen Verkehrsbedürfnisse andererseits ist ebenso wie die gebietsspezifische Entwicklungstendenz dieser kontroversen Nutzungsansprüche in der Ergebnisinterpretation verbal aufzuzeigen. Die Indikatoren hierzu und deren Wirkungsrichtung sind an Hand der folgenden Unterlagen zu erfassen:
Landschaftsdatenkatalog der Landschaftsdatenbank
Die hydro-biologischen Verhältnisse sind Grundlage des Wasserangebotspotentials, das Krötenpopulationen und damit Krötenbewegungen überhaupt erst ermöglicht. Die hydro-biologischen Bilanzierungsergebnisse vermitteln also den Überblick über den aktuellen und den künftigen Zustand. Hinreichende Wassertransmissivität (Wasserhöffigkeit) - auch nach dem Bau des Verkehrsweges - ist Grundlage der Erhaltung bestehender bzw. der Schaffung neuer Feuchtbiotope.
Bei der Wasserbilanz und damit bei der Ökodiagnose ist die reale und potentielle Vegetation zu beachten.
Die Indikatoren sind an Hand der unter 1.6.2 genannten sowie der nachfolgenden Unterlagen zu erfassen:
Ebenso wie der Wasserhaushalt ist auch das Mikroklima maßgebend für die Erhaltung und Optimierung der Krötenbewegungen. Zu prüfen ist die Abhängigkeit des Biotops von den mikroklimatischen Standortbedingungen, insbesondere unter dem Gesichtspunkt der Veränderbarkeit dieser Bedingungen durch anthropogene Einflüsse, also den Straßenbau. Hierbei ist das Pufferungsvermögen des Biotops gegenüber eben diesen anthropogenen Umwelteinflüssen in die Diagnose einzubeziehen, ebenso die Beeinträchtigungswahrscheinlichkeit der potentiellen Klimabelastung durch Kaltluftstaus.
1.7 Abstand der Krötenwanderanlagen
Der Abstand der Krötenwanderanlagen ergibt sich aus den v.g. Untersuchungen
der daraus ermittelten Breite des Migrationsstromes des Krötenpotentials.
Der Abstand der einzelnen Anlagen soll 50 m nicht unterschreiten.
1.8 Grunderwerb
Der Grunderwerb ist für alle zu einer Krötenwanderanlage gehörenden
Flächen durchzuführen, hierbei sind die Migrationswege in angemessenem
Abstand links und rechts des Verkehrsweges einzubeziehen. Bei Neubaustrecken
ist ein gleichzeitiger Grunderwerb für die Strecke und für die
Krötenwanderanlagen anzustreben.
2 Gestaltung der Krötenwanderanlagen
Zu den Krötenwanderanlagen gehören
2.1.1 Leitanlagen
Leitanlagen sind Anlagen, die dazu dienen, die im breiten Bereich eines
Migrationsweges anwandernden Kröten am Überqueren des Verkehrsweges
zu hindern, sie abzufangen und den Einrutschbauwerken (Amphibienschächten)
zuzuführen.
Die Leitanlagen sind in Form von Wänden oder von Zäunen auszubilden.
Wände sind herzustellen aus Betonfertigteilen und zwar unter Verwendung von L- oder von U-Profilen. Unter Abwägung der mittleren Sprunghöhe der Einheitskröte einerseits und dem Gebot der Wirtschaftlichkeit andererseits sind Betonfertigteile mit einer Höhe von 50 cm zu wählen.
Zäune sind herzustellen aus kleinmaschigen Drahtgeflechten. Mit Rücksicht auf die mittlere Sprunghöhe der Einheitskröte muß O.K. Amphibienleitzaun mindestens 50 cm über O.K. Gelände liegen. Der Zaun ist mindestens 10 cm einzugraben.
Beim Vorhandensein von Wildschutzzäunen ist der Amphibienleitzaun mit diesen zu kombinieren, d.h. der kleinmaschige Krötenzaun ist in den großmaschigen Wildschutzzaun durch Einflechten zu integrieren.
Auf die Verwendung von Plastikfolienzäunen ist zu verzichten. da dieses Material nicht krötenartgerecht ist und bei Mäharbeiten so beschädigt werden kann, daß Kröten durch entstandene Löcher gelangen können.
2.1.2 Kröteneinrutschbauwerke (Bild 1)
Kröteneinrutschbauwerke sind Amphibienschächte, die den Einstieg der Kröten in den Durchlaß erzwingen. Der Einstieg ist in Trichterform auszubilden, um das Schrägabrutschen der Kröten zu gewährleisten. Bei der Neigung der Trichterwände sind die Abrutschbeiwerte (Feuchtigkeitsbeiwerte) der Normalkröte zu berücksichtigen. Empfohlen wurden Neigungen von 1:1 bis 2:1. Die Sohle des Schachtes ist mit Mutterboden und Laub zu polstern.

Bild l: Amphibienschacht
Die Schachttiefe ist abhängig vom Durchmesser des Durchlasses. Zu beachten ist, daß von der Schachtsohle aus die Helligkeit am anderen Ende des Durchlasses von den Lichtrezeptoren des Krötenauges ungehindert und ohne Verzug erkannt werden können.
2.1.3 Krötendurchlässe
Krötendurchlässe sind den Bedürfnissen der Kröten anzupassen. Sie sind tunlichst an Geländetiefpunkten anzuordnen. Bei zwangsgeführten Durchlässen ist grundsätzlich nur Richtungsverkehr zuzulassen, d.h. für den Zugang vorn Winterquartier zum Laichbiotop sowie für den Rückweg zum Nahrungsbiotop bzw. zum Winterquartier sind jeweils getrennte Röhren anzuordnen.
Der Durchmesser der Rohre steht in unmittelbarer Relation zur Länge des Durchlasses. Mit Rücksicht auf den erforderlichen Helligkeitseffekt im Rohr, mit Rücksicht auf die besonders in der Paarungszeit hohe Sensibilität der Tiere und zur Vermeidung der damit verbundenen Klaustrophobie sind Durchmesser von 300 mm (bei RQ 7,5) bis 1200 mm (bei RQ 29) zu wählen.
Die Neigung der Rohre ist wechselseitig auszubilden und soll 10% nicht überschreiten.
Besondere technische Forderungen für die Rohrherstellung sind:
Falls eine natürliche Naßhaltung der Durchlaßsohle nicht gegeben ist, sind entsprechend Bewässerungseinrichtungen anzuordnen. Diese dürfen jedoch nicht auf die Verwendung toxisch beeinträchtigten Straßenoberflächenwassers zurückgreifen.
2.1.4 Lichtschächte
Grundsätzlich ist den Tieren bei der Durchwanderung des Durchlasses ausreichendes Tageslicht anzubieten. Bei einer Länge der Durchlässe von >50 m sind deshalb bei Autobahnen Lichtschächte im Mittelstreifen anzuordnen.
2.1.5 Pflanzungen
Zur Verminderung der Eingriffsschärfe im Übergang von Straße zu Hinterland sind die Krötenwanderanlagen mit einer lockeren Bepflanzung zu umgeben. Die Bepflanzung ist als natürliche Saumgesellschaft in die Seitenbepflanzung der Straße einzubinden. Bei angeschnittenen Wäldern ist eine Waldvorpflanzung als Bindeglied erforderlich.
Die Auswahl der Pflanzenarten richtet sich nach der standortgemäßen Pflanzengesellschaft. Pflanzenarten, die für Kröten gesundheitsschädlich sind, sollen im Bereich der Krötenwanderanlagen vermieden werden.
2.2 Freigeführte Krötenwanderanlagen
2.2.1 Leitanlagen
Leitanlagen sind Anlagen, die dazu dienen, die im breiten Bereich eines Migrationsweges anwandernden Kröten am Überqueren des Verkehrsweges zu hindern, sie abzufangen und zwanglos dem Krötendurchlaß zuzuführen.
Hinsichtlich der Gestaltung der Leitanlagen gilt Ziff. 2.1.1.
2.2.2 Kröteneinrutschbauwerke
Kröteneinrutschbauwerke entfallen bei freigeführten Krötenwanderanlagen.
2.2.3 Krötendurchlässe
Die Krötendurchlässe freigeführter Kröten-wanderanlagen sind im Gegensatz zu den zwangsgeführten Anlagen in beiden Migrationsrichtungen benutzbar. Das Auftreten von störendem Gegenverkehr kann vernachlässigt werden, da der Rückweg im allgemeinen erst angemessene Zeit nach dem Ablaichen angetreten wird. Von der Richtung abirrende Einzelkröten werden meist vom Krötenkollektiv wieder in die dem jeweiligen Wanderzweck dienende Richtung eingegliedert.
Die Durchlässe sind in Rechteckform auszubilden, wobei wiederum die Größe des Recht-eckquerschnittes in unmittelbarem Zusammenhang zur Länge des Durchlasses steht. Aus den unter Ziff. 2.1.3 genannten Gründen sind Abmessungen von 80 x 80 cm (bei RQ 7,5) bis 100 x 250 cm (bei RQ 29) zu wählen.
Hinsichtlich der Rohrherstellung sowie der Sohlenausbildung gilt Ziff. 2.1.3 sinngemäß. Bei der Bewässerung der Sohle ist eine Kombination des Durchlasses mit einem kleinen Fließgewässer anzustreben.
2.2.4 Lichtschächte
Für die Lichtschächte gilt Ziff. 2.1.4 sinngemäß.
2.2.5 Pflanzungen
Für die Pflanzungen gilt Ziff. 2.1.5 sinngemäß.
2.3 Künstlerische Gestaltung
Aufgabe der künstlerischen Gestaltung ist es, durch Animation (Beseelung) die Krötenwanderanlagen von dem rein funktionalen Bezug der Krötenbewegung zu lösen.
2.3.1 Gestaltungsrepertoire
Das Gestaltungsrepertoire ist so groß, daß ansprechende individuelle Lösungen verwirklicht werden können. Die Gestaltung der Krötenwanderanlagen bedeutet aber für die Kröten eine ständige Auseinandersetzung. Eine nur dem persönlichen Ausdruckswillen des Künstlers folgende Gestaltung kann zur Ablehnung durch die Tiere führen. Die künstlerische Gestaltung hat daher auf das Kröten-sozialgefüge und die Sensibilität der Tiere einzugehen, sie hat dem individuellen Erlebniswert für die Kröten zu dienen.
2.3.2 Oberflächentextur
Durch die Oberflächentextur muß eine kleinteilig organisierte und überschaubare Struktur der Krötenwanderanlagen erzielt werden. Es sind amorphe Strukturen zu wählen, die die Besied-lung der Anlagen durch Moose und Flechten erleichtern.
2.3.3 Urheberrecht
Der Künstler hat das ausschließliche Nutzungs-recht im Sinne des ß 31 Urheberrechtsgesetz (i.d.F. vom 9.9.65 - BGBl. S.1273) der Straßen-bauverwaltung zu übertragen.
3 Unterhaltung und Betrieb
Krötenwanderanlagen sind grundsätzlich in den Straßenkörper zu verlegen. Sie stehen damit in Eigentum und Unterhaltung des Straßen-baulastträgers, der die Funktionstüchtigkeit und Betriebssicherheit zu gewährleisten hat. Die Überlassung der Nutzung durch die Kröten erfolgt gem. den Nutzungsrichtlinien vom 1.8.1975, Ziff. 2.3.2, unentgeltlich, da es sich um eine nichtgewerbliche, im öffentlichen Interesse liegende Anlage handelt. Für die in Ziff. 2.11, Abs. 3 genannten Fälle sind die Schutz-zaunrichtlinien (SchuZR> vom 1.8.1975 (VKBl. 1975 S.478) analog anzuwenden.
Anlage 1
Empirische Formel zur Berechnung der mittleren Sprunghöhe der Einheitskröte
Hierzu sind aus einem Krötenkollektiv von 100 Tieren folgende Durchschnittsmaße zu ermitteln:
| Oberschenkel Ø |
õ [mm]
|
| Unterschenkel Ø |
û [mm]
|
| Gestreckte Hinterbeinlänge |
LStreck [mm]
|
| Gewicht der weibl. Kröte |
GKröt w [g]
|
| Gewicht der männl. Kröte |
GKröt m [g]
|
| Gewicht des Laichguts |
GLaich [g]
|
| Sprunghöhe |
H [cm]
|
| Biotop-Faktor |
Btop (ohne Dimension)
|
Die Formel lautet:
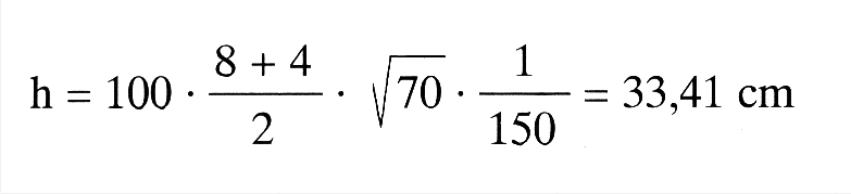
Beispiel für Hinweg:
Beispiel für Rückweg:
Anmerkung
Die empirische Formel wurde durch Messungen in der Natur überprüft.
Hierzu wurde ein Parcours aufgebaut mit verschiedenen Sprunghöhen.
Die Kröten wurden durch Darbieten von Insekten in situ zum Sprung
aufgefordert, in hartnäckigen Fällen wurde durch elektrische
Impulse aus einer Schwachstrombatterie nachgeholfen. Die Überprüfung
ergab, daß die Formel geeignet ist.
Extreme Sprunghöhen, die nach der Gaußschen Verteilungskurve
durchaus möglich sind, können außer Betracht
bleiben, da diese Biotopmasse bei der nächsten Zählung
nicht mehr registriert zu werden braucht (vom Verkehr plattgedrückt).